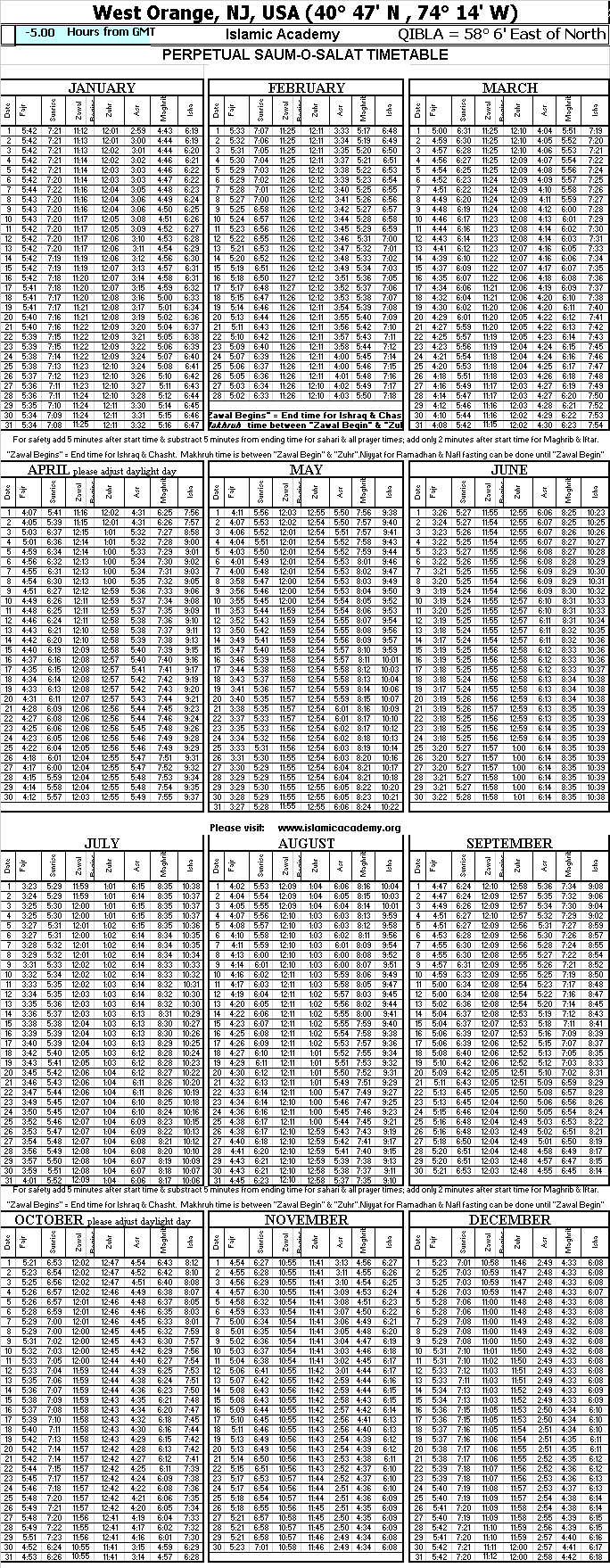
Salat Time Tables

Click here to Download Printable in Microsoft Excel format